Definición de Derivada
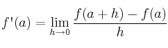
Derivada de una función en un punto
Dada una funcion
, llamamos derivada de
en el punto
, y lo representamos por
a a siguiente expresión:

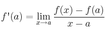
También se puede usar la siguiente expresión equivalente:

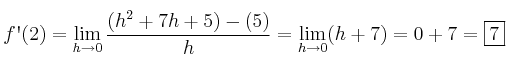
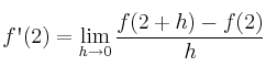
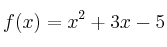
Ejemplo: Calcula la derivada en el punto
de la función ![]()
![]()

Afortunadamente no siempre tendremos que usar límites, pues en la mayoría de ocasiones calcularemos las derivadas usando las fórmulas
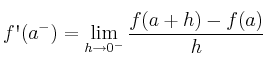
Derivadas laterales
La derivada, por definición es un límite, y al igual que existen límites laterales, también existen derivadas laterales:
– Derivada por la derecha:
– Derivada por la izquierda: 
Tendremos que usar las derivadas laterales en las funciones a trozos.