Curvatura (concavidad y convexidad) y puntos de inflexión

💬 1

  curvaturafunciones

Una función es cóncava en un intervalo cuando para cualquier par de puntos de la curva (dentro del intervalo), el segmento que los une queda por debajo de la gráfica.
Cuando el segmento queda por encima de la gráfica, la función es convexa en dicho intervalo.

Puntos de inflexión son los puntos del dominio donde la función pasa de cóncava a convexa (o de convexa a cóncava)

Teorema
 f\textsc{\char13} \textsc{\char13}(a) > 0 \Longrightarrow f es convexa en a
 f\textsc{\char13} \textsc{\char13}(a) < 0 \Longrightarrow f es cóncava en a
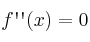
 f\textsc{\char13} \textsc{\char13}(a) = 0 \Longrightarrow posible punto de inflexión en a
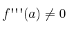
[Será punto de inflexión cuando f\textsc{\char13} \textsc{\char13} \textsc{\char13}(a) \neq 0]

Calcular los intervalos de concavidad y convexidad

 1) Calculamos f\textsc{\char13}(x) y f\textsc{\char13} \textsc{\char13}(x)
 2) Resolvemos la ecuación f\textsc{\char13} \textsc{\char13}(x)=0
 3) Dibujamos en la recta real las soluciones de la ecuación anterior y los posibles puntos de discontinuidad de la función. Ello dejará la recta real dividida en intervalos.

 4) Estudiamos el signo de f\textsc{\char13} \textsc{\char13}(x) en cada uno de los intervalos anteriores. Para ello tomamos un punto x_0 del intervalo y comprobamos si f\textsc{\char13} \textsc{\char13}(x_0) es positivo o negativo.

 Si es positivo, la función es convexa en ese intervalo
 Si es negativo, la función es cóncava en ese intervalo

Calcular puntos de inflexión

Las soluciones de la ecuación f\textsc{\char13} \textsc{\char13}(x)=0 son los candidatos a puntos de inflexión.
A cada candidato "c" le aplicamos la 3ª derivada:
 Si f\textsc{\char13} \textsc{\char13} \textsc{\char13}(c) \neq 0 es punto de inflexión
 Si f\textsc{\char13} \textsc{\char13} \textsc{\char13}(c) = 0 no podemos asegurar nada.

Ver ejercicio Resuelto

Comentar el artículo

Mensajes