• Apuntes
  • Vídeos
  • Ejercicios
    • Resueltos
    • Por Curso
      • 1º ESO
      • 2º ESO
      • 3º ESO
      • 4º ESO
      • 1º BACH. CIENCIAS
      • 1º BACH. SOCIALES
      • 2º BACH. CIENCIAS
      • 2º BACH. SOCIALES
  • Más recursos
    • Actividades Interactivas
    • Selectividad (PAU)
    • Acceso Mayores 25
    • LaTeX
Inicio ›EJERCICIOS de Matemáticas ›1º BACH. CIENCIAS ›Cónicas ›Hallar Centro y Radio de Circunferencia

Hallar Centro y Radio de Circunferencia

cónicasEjercicios_Resueltos

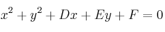
Halla el centro y el radio de la circunferencia x^2+y^2-18x-9=0

SOLUCIÓN

De la ecuación general de la circunferencia
x^2+y^2+Dx+Ey+F=0
donde:
D=-2a
E=-2b
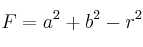
F=a^2+b^2-r^2
calculamos el centro (a,b) y el radio r
En caso x^2+y^2-4x+10y+25=0
a = \frac{D}{-2} \longrightarrow a=\frac{-18}{-2} \longrightarrow a=9
b = \frac{E}{-2} \longrightarrow b=\frac{0}{-2} \longrightarrow b=0
Luego el centro es C(9,0)
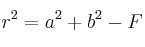
F=a^2+b^2-r^2
r^2=a^2+b^2-F
r^2=9^2+0^2-(-9)=
r^2=90 \longrightarrow \fbox{r=\sqrt{90}}

Otra forma alternativa de resolver el ejercicio podemos verla en el siguiente ejercicio

Comentar el ejercicio

  • 1º BACH. CIENCIAS
    • Derivadas
    • Números Reales
    • Sucesiones
    • Logaritmos
    • Polinomios y Fracciones Algebraicas
    • Exámenes
    • Ecuaciones
    • Números Complejos
    • Sistemas de Ecuaciones
    • Trigonometría
    • Inecuaciones
    • Ecuaciones Exponenciales y Logarítmicas
    • Funciones (I)
    • Geometría en el Plano
    • Cónicas
    • Funciones II
    • Integrales
    • Probabilidad
  • Mapa del sitio
  • Conectarse
  • 2001-2026 — Matemáticas IES — Contactar con Dani