📝 Ejercicios de sistema_lineal_3_ecuaciones_3incógnitas
-
Dado el sistema

– a) Discute el sistema en función de m.
– b) Resuelve el sistema, si es posible, para m = 1 y m = - 2. -
Dado el siguiente sistema de ecuaciones,

a) Escribe la matriz de los coeficientes y la matriz ampliada del sistema anterior.
b) Convierte, a través de transformaciones elementales, la matriz ampliada anterior en matriz escalonada. -
La gerencia de una sociedad de inversiones tiene un fondo 200.000 USD para invertir en acciones. A fin de alcanzar un nivel aceptable de riesgo, las acciones consideradas se han clasificado en tres categorías: de alto, mediano y bajo riesgo. La gerencia estima que las acciones de alto riesgo tendrán una tasa de rendimiento del 15% anual; las de riesgo medio, 10% anual, y las de bajo riesgo, 6% anual. La inversión en las acciones de bajo riesgo será el doble de la suma invertida en las otras dos categorías. El objetivo de la inversión es tener una tasa promedia de rendimiento del 9% anual sobre la inversión total. ¿Cuánto se debe invertir en cada tipo de acción?
-
Una empresa de transportes gestiona una flota de 60 camiones de tres modelos diferentes. Los mayores transportan una media diaria de 15000 kg. y recorren diariamente una media de 400 kilómetros. Los medianos transportan diariamente una media de 10000 kilogramos y recorren 300 kilómetros. Los pequeños transportan diariamente 5000 kilogramos y recorren 100 km. de media. Diariamente los camiones de la empresa transportan un total de 475 toneladas y recorren 12500 km. entre todos. ¿Cuántos camiones gestiona la empresa de cada modelo?
-
Un cliente de un supermercado ha pagado un total de 156 euros por 24 litros
de leche, 6 kg de jamón serrano y 12 litros de aceite de oliva.
Plantee y resuelva un sistema de ecuaciones para calcular el precio unitario de cada artículo, sabiendo que 1 litro de aceite cuesta el triple que un litro de leche y que 1 kg de jamón cuesta igual que 4 litros de aceite más 4 litros de leche. -
Resuelve el siguiente sistema de ecuaciones por el método de sustitución:

-
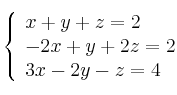
Resuelve por el método de Gauss el sistema de ecuaciones:

-
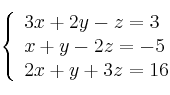
Resuelve por el método de Gauss el sistema de ecuaciones:

-
Resuelve por el método de Gauss el sistema de ecuaciones:

-
Resuelve el sistema de ecuaciones:

-
Resuelve el sistema de ecuaciones:

-
Resuelve el sistema de ecuaciones:

-
Dado el siguiente sistema:
– a) Escribe la matriz de los coeficientes, la matriz ampliada, la de las incógnitas y la de los términos independientes. Expresa el sistema en forma matricial
– b) Resuelve el sistema por el método que desees (Cramer o Gauss). A la vista de las soluciones, ¿de qué tipo es el sistema? -
Resuelve por el método de Gauss el sistema de ecuaciones:

-
Resuelve el sistema de ecuaciones:

-
Resuelve el sistema de ecuaciones:

-
Resuelve el sistema de ecuaciones:

-
Resuelve por la regla de Cramer el siguiente sistema de ecuaciones

-
Resuelve por el método de Gauss el siguiente sistema de ecuaciones

-
Resuelve el sistema de ecuaciones:

- 1
- 2