Matrices y Sistemas 4182
Dado el siguiente sistema de ecuaciones,

a) Escribe la matriz de los coeficientes y la matriz ampliada del sistema anterior.
b) Convierte, a través de transformaciones elementales, la matriz ampliada anterior en matriz escalonada.
SOLUCIÓN
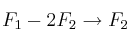
Observemos que el sistema está desordenado en su tercera ecuación.

La matriz de los coeficientes es A y llega hasta la barra vertical.
La matriz ampliada es A* (añadiendo la columna de los términos independientes a la matriz A)
b)
Hacemos las transformaciones
y
obteniendo

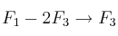
Finalmente hacemos la transformación
obteniendo
