• Apuntes
  • Vídeos
  • Ejercicios
    • Resueltos
    • Por Curso
      • 1º ESO
      • 2º ESO
      • 3º ESO
      • 4º ESO
      • 1º BACH. CIENCIAS
      • 1º BACH. SOCIALES
      • 2º BACH. CIENCIAS
      • 2º BACH. SOCIALES
  • Más recursos
    • Actividades Interactivas
    • Selectividad (PAU)
    • Acceso Mayores 25
    • LaTeX
Inicio ›EJERCICIOS de Matemáticas ›1º BACH. SOC. ›Ecuaciones y Sistemas ›sistema 3x3 gauss

sistema 3x3 gauss

💬 1

  gausssistema_lineal_3_ecuaciones_3incógnitas

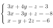
Resuelve por el método de Gauss el sistema de ecuaciones:

\left\{ \begin{array}{lcc}
             3x + 4y - z = 3\\
             3x - 3y + z = -8\\
             x - y + 2z = -6
             \end{array}
   \right.

SOLUCIÓN

x=-1 , y=1 , z=-2

Comentar el ejercicio

Mensajes

  • 21 de noviembre de 2006, 16:01

    x=-1, \: y=1, \: z=-2

  • 1º BACH. SOC.
    • Funciones
    • Inecuaciones
    • Logarítmos
    • Números Reales
    • Polinomios
    • Estadística
    • Probabilidad
    • Variables Aleatorias Unidimensionales
    • Ecuaciones y Sistemas
    • Límites y Derivadas
    • Exámenes
    • Variables Aleatorias bidimensionales
    • Matemática Financiera
  • Mapa del sitio
  • Conectarse
  • 2001-2026 — Matemáticas IES — Contactar con Dani