Límites y Derivadas
(19) ejercicios de Límites y Derivadas
-
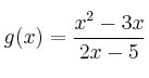
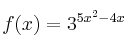
Calcula la función derivada de las siguientes funciones:
– a)
– b)
-
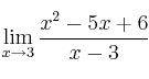
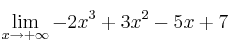
Calcula los siguientes límites:
– a)
– b)
-
Calcula la derivada de las siguientes funciones:
– a)
– b)
-
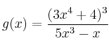
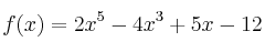
Calcula la derivada de las siguientes funciones:
– a)
– b)
-
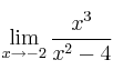
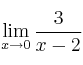
Calcula los siguientes límites:
– a)
– b)

