Problemas resueltos con sistemas 3x3
Una empresa de transportes gestiona una flota de 60 camiones de tres modelos diferentes. Los mayores transportan una media diaria de 15000 kg. y recorren diariamente una media de 400 kilómetros. Los medianos transportan diariamente una media de 10000 kilogramos y recorren 300 kilómetros. Los pequeños transportan diariamente 5000 kilogramos y recorren 100 km. de media. Diariamente los camiones de la empresa transportan un total de 475 toneladas y recorren 12500 km. entre todos. ¿Cuántos camiones gestiona la empresa de cada modelo?
SOLUCIÓN
El primer paso es hacer una lectura rápida del problema (sin tomar datos) y averiguar lo que nos están preguntando.
¿Cuántos camiones de cada modelo?
El segundo paso es asignar incógnitas a los datos (desconocidos) que nos piden
– camiones grandes
– camiones medianos
– camiones pequeños ![]()
Tercer paso: Dado que tenemos 3 incógnitas, debemos encontrar en el enunciado tres "datos o expresiones" que nos permitan crear tres ecuaciones, de forma que podamos construir un sistema de 3 ecuaciones con 3 incógnitas.
En este problema concreto sería conveniente expresar todos los datos en una tabla que nos facilite su lectura:
| Tipo de camión | Nº de camiones | kg diarios | km diarios |
| Grandes | x | 15000 | 400 |
| Medianos | y | 10000 | 300 |
| Pequeños | z | 5000 | 100 |
| TOTAL | 60 | 475000 | 12500 |
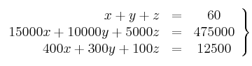
Con el dato "60 camiones" formamos la primera ecuación:
![]()
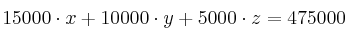
Entre todos transportan 475 toneladas (475000 kg) por tanto
![]()
Entre todos hacen 12500 km por tanto:
![]()
Tenemos ya creado un sistema de 3 ecuaciones con 3 incógnitas:

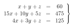
Antes de empezar a resolver el sistema debemos simplificar las ecuaciones (pues observamos que en las ecuaciones segunda y tercera acaban en ceros todos los términos).
En la segunda ecuación podemos dividir por 1000 (eliminar 3 ceros) y en la tercera podemos dividir por 100 (eliminar dos ceros).
Nos quedaría:

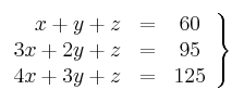
Aún podemos simplificar más la segunda ecuación si nos damos cuenta que todos los términos son múltiplos de 5. Podemos dividir entre 5 todos los términos de esa segunda ecuación y quedaría:

Resolvemos el sistema por cualquiera de los métodos conocidos. En este caso lo voy a resolver por sustitución:
Despejar una incógnita en una ecuación y sustituir por su valor en el resto de ecuaciones
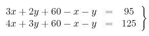
Voy a despejar "z" en la 1ª ecuación

Ahora sustituimos en las otras dos ecuaciones:

Es un sistema de 2 ecuaciones con 2 incógnitas en el que debemos agrupar términos semejantes y ordenarlo, antes de resolverlo

Resolvemos por sustitución

![]()
![]()
![]()



Ahora calculamos "z" que la teníamos despejada al principio
![]()

Por tanto las soluciones del sistema son:

Tiene 5 camiones grandes, 25 camiones medianos y 30 camiones pequeños
Mensajes
13 de abril de 2017, 07:21, por Carlos Pastrana
Soy estudiante y deseo aprender a desarrollar estos ejercicios
25 de abril de 2017, 06:52, por Juan Pablo
No se puede ver la solucion
14 de marzo de 2018, 22:07, por Desconocido
Planteamiento:
M.G M.M M.P Total
Cantidad x y z 60
Carga (toneladas) 15 10 5 475
Km 400 300 100 12500
M.G: Modelo grande.
M.M: Modelo mediano
M.P: Modelo pequeño
Definición de variables:
x: cantidad del modelo grande.
y: cantidad del modelo mediano.
z: cantidad del modelo pequeño.
Sistema de ecuaciones lineales(3x3)
x + y + z = 60
15x + 10y + 5z = 475
400x + 300y + 100z = 12500
Se resuelve por métodos de eliminación, ya sea por la gaussiana o Gauss - Jordan.
El resultado es:
x = 5
y = 25
z = 30
Nota: si reemplazas en el sistema, cumplirá con la igualdad. Por lo tanto, la respuesta es correcta.
26 de junio de 2019, 01:35, por María elena
De este problema necesito encontrar el método de sarus,estrella y el método de menores y cofactores
26 de junio de 2019, 08:26, por dani
Esos temas puedes consultarlos en el siguiente enlace:
https://matematicasies.com/-3-Deter...
4 de abril de 2020, 22:43, por viviana
7.Un cliente de un supermercado ha pagado un total de 162,5 euros por 10 litros de leche, 7 kg de jamón serrano y 15 litros de aceite de oliva. Calcular el precio de cada artículo sabiendo que 1 litro de aceite cuesta el triple que 1 litro de leche y que 1 kg de jamón cuesta igual que 3 litros de aceite más 1 litro de leche.
5 de abril de 2020, 09:15, por dani
Ese ejercicio está resuelto (con otros precios) en el siguiente enlace:
Problema leche, jamón y aceite
3 de abril de 2021, 18:54, por fernanda
Hola, quiero saber de donde saco el 35 y el 65, por que no me da. :(
5 de abril de 2020, 18:52, por noa
Si mi madre me da 15 euros tendré el doble de lo que tengo ahora más 5. ¿Cuánto dinero tengo?
5 de abril de 2020, 19:06, por dani
Tienes que proponer tu ejercicio aquí
31 de agosto de 2020, 17:46, por sarai
2. Un carpintero hace sillas, mesas redondas, y mesas cuadradas.
Cada silla requiere un minuto de lija, 3 minutos de pintura y un minuto de barniz
Cada mesa redonda requiere 2 minutos de lija, 1 minuto de pintura y un minuto de barniz
Cada mesa cuadrada requiere un minuto de lija, 1 minuto de pintura y 3 minutos de barniz.
Las máquinas de lijar, pintar y barnizar están disponibles 6, 6 y 5 horas por dia
respectivamente.
¿Cuántos muebles de cada tipo se puede hacer el carpintero si las maquinas se usan a toda
capacidad?
3. Encuentra el valor de la siguiente determinante
31 de agosto de 2020, 21:18, por dani
Para proponer ejercicios puedes usar nuestro foro haciendo clic en el siguiente enlace: https://foro-dudas.gratis/
13 de octubre de 2020, 20:35, por Erika
Problema resuelto con sistemas de ecuaciones 3x3
Una heladería, reabrirá sus puertas luego de 6 meses de confinamiento debido al covid 19; para ello, realizará una campaña virtual mostrando sus instalaciones en las cuales brinda todas las medidas de seguridad a sus clientes y ofrece los siguientes combos. Combo 1, un helado, dos zumos y 4 batidos por el módico precio de 11 dólares. Combo 2 compuesto, por 4 helados, 4 zumos y un batido por un valor de 10 dólares. Y un tercer combo por 2 helados, 3 zumos y 4 batidos en 13 dólares. ¿Cuál es el precio de cada producto?
Pro favor ayudeme:)
16 de octubre de 2020, 03:04, por Ron
precio helados = $1
precio zumo = $1
precio batido = $2
23 de noviembre de 2020, 13:15, por luisa
quien me ayuda porfa con -8a+4b igual a 20 a+b igual 10 allar a y b