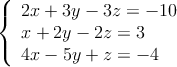
Sistema lineal 3x3 resuelto por Cramer
Resuelve por la regla de Cramer el siguiente sistema de ecuaciones

SOLUCIÓN
Expresamos la matriz ampliada

Calculamos el determinante de la matriz de los coeficientes

Aplicamos las fórmulas de la Regla de Cramer


