Matrices, Determinantes y Sistemas
(110) ejercicios de Matrices, Determinantes y Sistemas
-
Demuestra que
, siendo las matrices

-
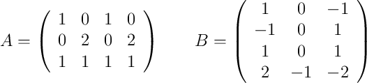
Demuestra que
, siendo las matrices

-
Indica si las siguientes matrices son regulares o singulares:


-
Calcula aplicando la Regla de Sarrus el determinante de la siguiente matriz:

-
Sea la matriz
– Calcula su determinante
