Matrices, Determinantes y Sistemas
(110) ejercicios de Matrices, Determinantes y Sistemas
-
– Despeja la matriz
en función de
e
en la ecuación
, siendo
y
matrices cuadradas de orden dos, e
la matriz identidad de orden 2.
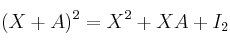
– Resuelve la ecuación
siendo

e
la matriz identidad de orden 2.
-
Hállense las matrices
cuadradas de orden 2, que verifican la igualdad:

-
Dadas las matrices

y

hállese razonadamente la matriz
sabiendo que 
-
Considera el sistema de ecuaciones

– a) Determina el valor de
para que el sistema sea incompatible.
– b) Resuelva el sistema para
-
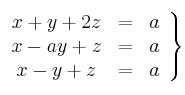
Discute el siguiente sistema en función de los valores del parámetro

