Matrices, Determinantes y Sistemas
(110) ejercicios de Matrices, Determinantes y Sistemas
-
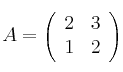
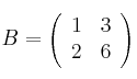
Dadas las matrices
y
, averigüe si existe una matric
que verifique
, y en su caso, calcúlela.
-
Sea la matriz

– a) Sin utilizar la regla de Sarrus, calcular el determinante de dicha matriz
– b) Estudiar el rango de A en caso de que
-
Teniendo en cuenta que
,calcular el valor del siguiente determinante sin desarrollarlo

-
La liga de fútbol de un cierto país la juegan 21 equipos a doble vuelta. Este año, los partidos
ganados valían 3 puntos, los empatados 1 punto y los perdidos 0 puntos. En estas condiciones, el equipo campeón de liga obtuvo 70 puntos. Hasta el año pasado los partidos ganados valían 2 puntos y el resto igual. Con el sistema antiguo, el actual campeón hubiera obtenido 50 puntos. ¿Cuantos partidos gano, empató y perdió el equipo campeón? -
Resuelva la ecuación matricial
, siendo las matrices
;


