Geometría en el Plano
Geometría - 1º Bach. Ciencias
Dadas las rectas:
Se pide:
– una recta
paralela a
por el punto
– una perpendicular
, a
por el punto ![]()
Halla la ecuación paramétrica de una recta perpendicular a la recta
por el punto ![]()
Halla un vector director y la pendiente de las rectas:
–
–
– 
Sean L1 y L2 las rectas de ecuación
![]()
![]()
donde ![]()
a) Determinar el valor de c para el cual la recta L1 ea perpendicular a la recta L2. Escribir la ecuación de la recta L1
b) Hallar analíticamente el punto de intersección de las rectas L1 y L2 y verificar gráficamente el resultado hallado.
c) Encontrar la ecuación de la recta L que es paralela a la recta L1 y pasa por el punto P= ( -1/3 , 1/3)
Dados los puntos
y
, halla la ecuación paramétrica de la recta perpendicular al segmento
en su punto medio.
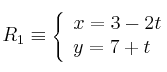
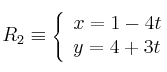
Halla la posición relativa de las rectas:
![]()
![]()
Halla la posición relativa de las rectas:
![]()
![]()
Usa el producto escalar para hallar el ángulo que forman los vectores
y ![]()
Si
es el punto medio del segmento
, calcula las coordenadas de
, siendo ![]()
Dada la recta
, escribe la ecuación de la recta perpendicular a ella en el punto de corte con el eje de ordenadas.