📝 Ejercicios de operaciones radicales
-
Opera y simplifica:
– a)
– b)![2\sqrt[3]{81} - 3 \sqrt[3]{375} - \sqrt[3]{24} 2\sqrt[3]{81} - 3 \sqrt[3]{375} - \sqrt[3]{24}](local/cache-TeX/a52f52f89028df36d978ccdd3f0a878a.png)
-
Realiza las siguientes operaciones:
– a)
– b)![\sqrt[4]{2187} : \sqrt{108} \sqrt[4]{2187} : \sqrt{108}](local/cache-TeX/cf35a70da9dad3bf7efc8d889e4a0201.png)
-
Expresa como un único radical:
![\frac{\sqrt{x} \cdot \sqrt[3]{x}}{\sqrt[4]{x}} \frac{\sqrt{x} \cdot \sqrt[3]{x}}{\sqrt[4]{x}}](local/cache-TeX/ac3f7702cb83b836590049bdbb5ce6cc.png)
-
Calcula y simplifica:
– a)
– b)
-
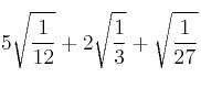
Calcula y simplifica:

Consejo: Racionaliza previamente los denominadores irracionales
-
Calcula y simplifica:
– a)
– b)![\: \sqrt[3]{250} - 2 \sqrt[3]{16} + \sqrt[3]{54} \: \sqrt[3]{250} - 2 \sqrt[3]{16} + \sqrt[3]{54}](local/cache-TeX/9dd84d4638b1bc80db11edf99a9b8f15.png)
-
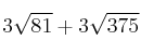
Calcula y simplifica:
–
–
-
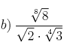
Calcula y simplifica:
–
–![b) \: \frac{\sqrt[8]{8}}{\sqrt{2} \cdot \sqrt[4]{3}} b) \: \frac{\sqrt[8]{8}}{\sqrt{2} \cdot \sqrt[4]{3}}](local/cache-TeX/9d06ed4737b64fbd6303bac319569e0d.png)
-
Calcula y simplifica:

-
Calcula y simplifica:
–
–![b) \: \sqrt[3]{125 \cdot \sqrt{32 \cdot \sqrt[3]{8}}} b) \: \sqrt[3]{125 \cdot \sqrt{32 \cdot \sqrt[3]{8}}}](local/cache-TeX/1889fb607fa4bc66580bc562ee41f904.png)
-
Calcula y simplifica:
–
–![b) \: \sqrt[3]{40} - \sqrt[3]{5} + \sqrt[3]{135} b) \: \sqrt[3]{40} - \sqrt[3]{5} + \sqrt[3]{135}](local/cache-TeX/d0d03db93ef9925b085bce8b4c4c92f9.png)
-
Calcula y simplifica:

-
Calcula y simplifica:

-
Calcula y simplifica:

-
Calcula y simplifica:

-
Calcula y simplifica:

-
Calcula y simplifica:

-
Calcula y simplifica:

-
Calcula y simplifica:

-
Calcula y simplifica:
![\sqrt[4]{25} +3 \sqrt[6]{125} - \sqrt{80} \sqrt[4]{25} +3 \sqrt[6]{125} - \sqrt{80}](local/cache-TeX/a2a3fce0b0b1f923835ad64e25981e6c.png)