Producto y Cociente de Radicales (2887)
Expresa como un único radical: ![\frac{\sqrt{x} \cdot \sqrt[3]{x}}{\sqrt[4]{x}} \frac{\sqrt{x} \cdot \sqrt[3]{x}}{\sqrt[4]{x}}](local/cache-TeX/ac3f7702cb83b836590049bdbb5ce6cc.png)
SOLUCIÓN
Para multiplicar o dividir radicales de distinto índice debemos hacer índice común
![\frac{\sqrt{x} \cdot \sqrt[3]{x}}{\sqrt[4]{x}} \frac{\sqrt{x} \cdot \sqrt[3]{x}}{\sqrt[4]{x}}](local/cache-TeX/ac3f7702cb83b836590049bdbb5ce6cc.png)
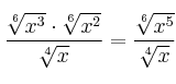
Hacemos primero el producto. m.c.m.(2,3)=6
![\frac{\sqrt[6]{x^3} \cdot \sqrt[6]{x^2}}{\sqrt[4]{x}} = \frac{\sqrt[6]{x^5}}{\sqrt[4]{x}} \frac{\sqrt[6]{x^3} \cdot \sqrt[6]{x^2}}{\sqrt[4]{x}} = \frac{\sqrt[6]{x^5}}{\sqrt[4]{x}}](local/cache-TeX/d0675f11e7a50b44377b0fea7588d57a.png)
Ahora el cociente. m.c.m.(4,6)=12
![\frac{\sqrt[6]{x^5}}{\sqrt[4]{x}} = \frac{\sqrt[12]{(x^5)^2}}{\sqrt[12]{x^3}} = \frac{\sqrt[12]{x^{10}}}{\sqrt[12]{x^3}} = \sqrt[12]{\frac{x^{10}}{x^3}}= \sqrt[12]{x^7} \frac{\sqrt[6]{x^5}}{\sqrt[4]{x}} = \frac{\sqrt[12]{(x^5)^2}}{\sqrt[12]{x^3}} = \frac{\sqrt[12]{x^{10}}}{\sqrt[12]{x^3}} = \sqrt[12]{\frac{x^{10}}{x^3}}= \sqrt[12]{x^7}](local/cache-TeX/31c520d2351240e5087f03c02777933a.png)
Expresa como un único radical: ![\frac{\sqrt{x} \cdot \sqrt[3]{x}}{\sqrt[4]{x}} \frac{\sqrt{x} \cdot \sqrt[3]{x}}{\sqrt[4]{x}}](local/cache-TeX/ac3f7702cb83b836590049bdbb5ce6cc.png)
Para multiplicar o dividir radicales de distinto índice debemos hacer índice común
![\frac{\sqrt{x} \cdot \sqrt[3]{x}}{\sqrt[4]{x}} \frac{\sqrt{x} \cdot \sqrt[3]{x}}{\sqrt[4]{x}}](local/cache-TeX/ac3f7702cb83b836590049bdbb5ce6cc.png)
![\frac{\sqrt[6]{x^3} \cdot \sqrt[6]{x^2}}{\sqrt[4]{x}} = \frac{\sqrt[6]{x^5}}{\sqrt[4]{x}} \frac{\sqrt[6]{x^3} \cdot \sqrt[6]{x^2}}{\sqrt[4]{x}} = \frac{\sqrt[6]{x^5}}{\sqrt[4]{x}}](local/cache-TeX/d0675f11e7a50b44377b0fea7588d57a.png)
![\frac{\sqrt[6]{x^5}}{\sqrt[4]{x}} = \frac{\sqrt[12]{(x^5)^2}}{\sqrt[12]{x^3}} = \frac{\sqrt[12]{x^{10}}}{\sqrt[12]{x^3}} = \sqrt[12]{\frac{x^{10}}{x^3}}= \sqrt[12]{x^7} \frac{\sqrt[6]{x^5}}{\sqrt[4]{x}} = \frac{\sqrt[12]{(x^5)^2}}{\sqrt[12]{x^3}} = \frac{\sqrt[12]{x^{10}}}{\sqrt[12]{x^3}} = \sqrt[12]{\frac{x^{10}}{x^3}}= \sqrt[12]{x^7}](local/cache-TeX/31c520d2351240e5087f03c02777933a.png)