• Apuntes
  • Vídeos
  • Ejercicios
    • Resueltos
    • Por Curso
      • 1º ESO
      • 2º ESO
      • 3º ESO
      • 4º ESO
      • 1º BACH. CIENCIAS
      • 1º BACH. SOCIALES
      • 2º BACH. CIENCIAS
      • 2º BACH. SOCIALES
  • Más recursos
    • Actividades Interactivas
    • Selectividad (PAU)
    • Acceso Mayores 25
    • LaTeX
Inicio ›EJERCICIOS de Matemáticas ›4º ESO ›Radicales ›radicales operaciones

radicales operaciones

💬 2

  Ejercicios_Resueltosoperaciones radicalesradicales

Calcula y simplifica:

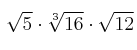
– a) \: \sqrt{5} \cdot \sqrt[3]{16} \cdot \sqrt{12}
– b) \: \sqrt[3]{125 \cdot \sqrt{32 \cdot \sqrt[3]{8}}}

SOLUCIÓN

– a)  \sqrt{5} \cdot \sqrt[3]{16} \cdot \sqrt{12}
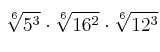
 \sqrt[6]{5^3} \cdot \sqrt[6]{16^2} \cdot \sqrt[6]{12^3}
 \sqrt[6]{5^3 \cdot 16^2 \cdot 12^3}
 \sqrt[6]{5^3 \cdot 2^8 \cdot 2^6 \cdot 3^3}
 \sqrt[6]{5^3 \cdot 2^{14}  \cdot 3^3}
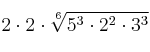
 \sqrt[6]{5^3 \cdot 2^6 \cdot 2^6 \cdot 2^2  \cdot 3^3}
2 \cdot 2 \cdot \sqrt[6]{5^3 \cdot  2^2  \cdot 3^3}

– b)  \sqrt[3]{125 \cdot \sqrt{32 \cdot \sqrt[3]{8}}}
 \sqrt[3]{125 \cdot  \sqrt{\sqrt[3]{8 \cdot 32^3 }}}
 \sqrt[3]{125 \cdot  \sqrt[6]{8 \cdot 32^3 }}
 \sqrt[3]{ \sqrt[6]{8 \cdot 32^3 \cdot 125^6}}
 \sqrt[18]{8 \cdot 32^3 \cdot 125^6}
 \sqrt[18]{2^3 \cdot (2^5)^3 \cdot (5^3)^6}
 \sqrt[18]{2^3 \cdot 2^{15} \cdot 5^{18}}
 \sqrt[18]{2^{18} \cdot 5^{18}}
2 \cdot 5 = 10

Comentar el ejercicio

Mensajes

  • 12 de octubre de 2021, 19:35, por Anonymus

    Esta mal el b creo,

    • 13 de octubre de 2021, 11:36, por dani

      Está bien. Es correcto, lo acabo de revisar

  • 4º ESO
    • Números Reales
    • Radicales
    • Logaritmos
    • Polinomios
    • Ecuaciones
    • Sistemas de ecuaciones
    • Proporcionalidad
    • Inecuaciones
    • Trigonometría
    • Funciones 4º ESO
    • Números racionales
    • Circunferencia
    • Geometría en el plano
    • Probabilidad
    • Estadística
  • Mapa del sitio
  • Conectarse
  • 2001-2026 — Matemáticas IES — Contactar con Dani