• Apuntes
  • Vídeos
  • Ejercicios
    • Resueltos
    • Por Curso
      • 1º ESO
      • 2º ESO
      • 3º ESO
      • 4º ESO
      • 1º BACH. CIENCIAS
      • 1º BACH. SOCIALES
      • 2º BACH. CIENCIAS
      • 2º BACH. SOCIALES
  • Más recursos
    • Actividades Interactivas
    • Selectividad (PAU)
    • Acceso Mayores 25
    • LaTeX
Inicio ›EJERCICIOS de Matemáticas ›3º ESO ›Radicales ›Operaciones con radicales [2853]

Operaciones con radicales [2853]

Ejercicios_Resueltosoperaciones radicalesradicales

Opera y simplifica:

– a) 5\sqrt{180} + 3\sqrt{27} - 2\sqrt{32}
– b) 2\sqrt[3]{81} - 3 \sqrt[3]{375} - \sqrt[3]{24}

SOLUCIÓN

180 = 2^{2}\cdot3^{2}\cdot5
\left. \begin{array}{c|c}180 & 2\cr90 & 2 \cr45 & 3 \cr15 & 3 \cr5 & 5 \cr1\end{array} \right.
– a) 5\sqrt{180} + 3\sqrt{27} - 2\sqrt{32} =
5\sqrt{2^{2}\cdot3^{2}\cdot5} + 3\sqrt{3^3} - 2\sqrt{2^5} =
5 \cdot 2 \cdot 3 \cdot \sqrt{5} + 3\sqrt{3^2 \cdot 3} - 2\sqrt{2^2 \cdot 2^2 \cdot 2} =
5 \cdot 2 \cdot 3 \cdot \sqrt{5} + 3 \cdot 3 \cdot \sqrt{3} - 2 \cdot 2 \cdot 2 \cdot \sqrt{2} =
30 \sqrt{5} + 9 \sqrt{3} - 8 \sqrt{2}

– b) 2\sqrt[3]{81} - 3 \sqrt[3]{375} - \sqrt[3]{24}
81=3^4 \qquad  \qquad\left. \begin{array}{c|c}375 & 3\cr125 & 5 \cr25 & 5 \cr5 & 5 \cr1\end{array} \right. \qquad  \qquad\left. \begin{array}{c|c}24 & 2\cr12 & 2 \cr6 & 2 \cr3 & 3 \cr1\end{array} \right.
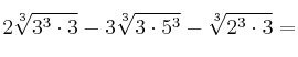
2\sqrt[3]{81} - 3 \sqrt[3]{375} - \sqrt[3]{24} =
2\sqrt[3]{3^4} - 3 \sqrt[3]{3 \cdot 5^3} - \sqrt[3]{2^3 \cdot 3} =
2\sqrt[3]{3^3 \cdot 3} - 3 \sqrt[3]{3 \cdot 5^3} - \sqrt[3]{2^3 \cdot 3} =
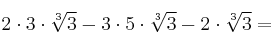
2 \cdot 3 \cdot \sqrt[3]{3} - 3 \cdot 5 \cdot \sqrt[3]{3} - 2 \cdot \sqrt[3]{3} =
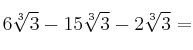
6 \sqrt[3]{3} - 15  \sqrt[3]{3} - 2  \sqrt[3]{3} =
(6 - 15 - 2) \sqrt[3]{3} =
-11 \sqrt[3]{3} =

Comentar el ejercicio

  • 3º ESO
    • Sistemas de ecuaciones
    • Ecuaciones
    • Polinomios
    • Radicales
    • Potencias
    • Proporcionalidad y Porcentajes
    • Números Reales
    • Funciones y Gráficas
    • Sucesiones
    • Probabilidad
    • Geometría
    • Estadística
    • Problemas especiales
  • Mapa del sitio
  • Conectarse
  • 2001-2026 — Matemáticas IES — Contactar con Dani