radicales

💬 2

  Ejercicios_Resueltosoperaciones radicalesradicales

Calcula y simplifica:

\sqrt{32} - \frac{\sqrt{50}}{2} + \frac{5}{\sqrt{18}}

Consejo: Racionaliza previamente los denominadores irracionales

SOLUCIÓN

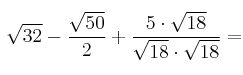
\sqrt{32} - \frac{\sqrt{50}}{2} + \frac{5}{\sqrt{18}}=


Racionalizamos denominador

\sqrt{32} - \frac{\sqrt{50}}{2} + \frac{5 \cdot \sqrt{18}}{\sqrt{18} \cdot \sqrt{
18}}=


\sqrt{32} - \frac{\sqrt{50}}{2} + \frac{5 \cdot \sqrt{18}}{
18}=


Reducimos a común denominador

\frac{18 \cdot \sqrt{32}}{18} - \frac{9 \cdot \sqrt{50}}{18} + \frac{5 \cdot \sqrt{18}}{18}=


\frac{18 \cdot \sqrt{32} - 9 \cdot \sqrt{50} +5 \cdot \sqrt{18}}{18}=


\frac{18 \cdot \sqrt{2^5} - 9 \cdot \sqrt{2 \cdot 5^2} +5 \cdot \sqrt{2 \cdot 3^2}}{18}=


\frac{18 \cdot 4 \cdot \sqrt{2} - 9 \cdot 5 \cdot \sqrt{2} +5 \cdot 3 \cdot \sqrt{2}}{18}=


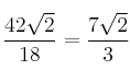
\frac{72 \sqrt{2} - 45 \sqrt{2} + 15 \sqrt{2}}{18}=


\frac{42 \sqrt{2}}{18}= \frac{7 \sqrt{2}}{3}

Comentar el ejercicio

Mensajes