📝 Ejercicios de cónicas
-
Determinar la ecuación de la circunferencia, si se sabe que pasa por los puntos A(-4,0) y B(0,4) y su centro está a una distancia de
unidades de la cuerda 
-
Dados los puntos A(0,2) y B(0,-2), determina la ecuación general de la circunferencia que pasa por A y B, y además, es tangente a la recta y=3x + 2
-
Halla la ecuación de un circunferencia que es tangente a la recta de ecuación
, en el punto
, y el centro está en la recta
. -
Halla la ecuación de la circunferencia de centro
, sabiendo que pasa por el punto 
-
Halla la ecuación de la circunferencia que pasa por los puntos
,
y 
-
Halla la ecuación de la circunferencia, cuyo diámetro es el segmento de extremos
y 
-
Halla el Centro y el Radio de la circunferencia

-
Halla la ecuación de una circunferencia que pasa por el
, de radio 4 y cuyo centro está en la bisectriz del primer cuadrante
-
Halla la ecuación de una circunferencia que pasa por los puntos
y
, y su centro se encuentra sobre la recta 
-
Halla la ecuación de una elipse de centro
, semieje mayor 3 y semieje menor 2.
-
Halla los elementos característicos y la ecuación reducida de una hipérbola de Focos
y
y constante de proporcionalidad 
-
Comprueba si la recta
es tangente a la circunferencia 
-
Dada la ecuación de una elipse
, halla su ecuación general
y comprueba que se cumplen las relaciones:–
–
–
–
donde
y
son los semiejes y
es el centro.
-
Halla la ecuación de una circunferencia de centro
y tangente a la recta 
-
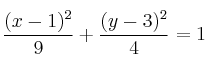
Dada la ecuación de una elipse
, se pide:– Centro
– Semieje Mayor
– Semieje menor
– Excentricidad
– Distancia Focal -
Halla la ecuación de una hipérbola de Focos
y
y excentricidad 
-
Dada la ecuación general de una elipse:
, se pide:– Centro
– Semieje Mayor
– Semieje menor
– Excentricidad
– Distancia Focal -
Halla el centro y el radio de la circunferencia

-
Halla el centro y el radio de la circunferencia

-
Dada la circunferencia
, halla la ecuación de una circunferencia concéntrica a la anterior, que pase por el punto 
- 1
- 2