Hallar circunferencia concéntrica

cónicasEjercicios_Resueltos

Dada la circunferencia x^2+y^2-4x+10y+25=0 , halla la ecuación de una circunferencia concéntrica a la anterior, que pase por el punto (2,2)

SOLUCIÓN

Si la circunferencia es concéntrica tiene que tener el mismo centro.
Hallamos el centro de la circunferencia x^2+y^2-4x+10y+25=0 recordando que la ecuación general de la circunferencia
x^2+y^2+Dx+Ey+F=0
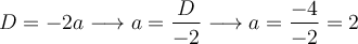
nos da el centro (a,b)
D=-2a \longrightarrow a=\frac{D}{-2} \longrightarrow a=\frac{-4}{-2}=2
E=-2b \longrightarrow a=\frac{E}{-2} \longrightarrow b=\frac{10}{-2}=-5
Entonces el centro es (2,-5)
La ecuación sería de la forma (x-2)^2+(y+5)^2=r^2, a falta de calcular el radio.
Podemos hallar el radio de dos formas:

1) Hacemos pasar la circunferencia por el punto (2,2)
(2-2)^2+(2+5)^2=r^2
49=r^2 \longrightarrow r=7

2) Como distancia entre el centro y un punto de la circunferencia
r=d\left( (2,-5),(2,2) \right)=+\sqrt{0^2+7^2} = 7

La ecuación de la circunferencia que nos piden será:

(x-2)^2+(y+5)^2 = 49

Circunferencia concéntrica
Encontrar circunferencia concéntrica por un punto
matematicasies.com

Comentar el ejercicio