Circunferencia a partir de 2 puntos, cuerda y distancia del centro
Determinar la ecuación de la circunferencia, si se sabe que pasa por los puntos A(-4,0) y B(0,4) y su centro está a una distancia de
unidades de la cuerda ![]()
SOLUCIÓN
Dibujamos la situación
Podemos calcular la distancia entre A y B. Su mitad será el valor c.
Entonces, por Pitágoras podemos calcular el radio de la circunferencia.
![]()
![]()

Una vez que tenemos el radio y dos puntos de la circunferencia, podemos calcular su ecuación obteniendo el centro Ç(a,b).
![]()
Pasa por ![]()
Pasa por ![]()
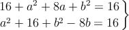
Debemos resolver el sistema
![]()
![]()
Sustituimos por ejemplo en la 2ª ecuación
![]()
Si
Si ![]()
Tenemos dos soluciones:
![]()
![]()