Torre hiperbólica. Cónicas hipérbola
Una torre de enfriamiento, como la que se ve en la imagen, es una estructura hiperboloide (geometría hiperbólica). Suponga que el diámetro de su base es de 100 metros y su diámetro más pequeño de 48 metros se encuentra a 84 metros de la base. Si la torre mide 120 metros de altura, calcule su diámetro en la parte más alta.
SOLUCIÓN
Dibujamos una hipérbola con centro en el origen de coordenadas.
Ponemos los datos conocidos del enunciado
La ecuación de la hipérbola es ![]()
Conocemos el valor de
, por tanto la ecuación queda
![]()
Sabemos que pasa por el punto
lo que nos permite calcular ![]()
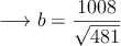
![]()
Resolvemos la ecuación y obtenemos ![]()
Por tanto, tenemos la ecuación completa de la hipérbola

Ahora tan sólo necesitamos calcular la componente "x" del punto
(que será la mitad del diámetro de arriba).
Como el punto
está en la hipérbola, le hacemos cumplir la ecuación de la misma

Si resolvemos la ecuación obtenemos un valor aproximado de ![]()
por tanto el diámetro de arriba es de aproximadamente
metros