Sistema Inecuaciones Primer Grado
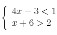
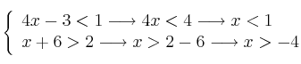
Resuelve el sistema de inecuaciones:

SOLUCIÓN
Se resuelve cada inecuación por separado.
La intersección de las soluciones es la solución al sistema.

Solución del sistema: ![]()
Otra forma de expresarla: ![]()
Resuelve el sistema de inecuaciones:

Se resuelve cada inecuación por separado.
La intersección de las soluciones es la solución al sistema.

Solución del sistema: ![]()
Otra forma de expresarla: ![]()