Resolución gráfica de sistemas de ecuaciones
Plantea un sistema de dos ecuaciones con dos incógnitas que no tenga solución, y para demostrarlo haz su representación gráfica.
SOLUCIÓN
Debemos tener en cuenta que:
– Una ecuación lineal con dos incógnitas representa una recta en el plano
– Un sistema de dos ecuaciones con dos incógnitas representa dos rectas en el plano
– La posición relativa de las dos rectas determina el número de soluciones del sistema
Si consideramos el sistema de dos ecuaciones con dos incógnitas formado por las ecuaciones de ambas rectas, podemos tener varias opciones:
– Sistema con solución única: Las rectas son SECANTES. Se cortan en un punto (ese punto es la solución del sistema)
– Sistema sin solución: Las rectas no tienen puntos en común, por tanto son PARALELAS.
– Sistema con infinitas soluciones: Las rectas tienen infinitos puntos en común, por tanto son la misma recta. Son COINCIDENTES
Si expresamos las rectas en sus ecuaciones generales:
![]()
![]()
podemos diferenciar 3 casos:
–
SECANTES
–
PARALELAS
–
COINCIDENTES
Como nos piden un sistema que no tenga solución, las rectas deben ser paralelas
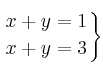
Por ejemplo:

Vemos que 
Por tanto las rectas son paralelas y el sistema no tiene solución
Mensajes
30 de noviembre de 2011, 00:31, por pedro
muy bueno, entendi a la perfeccion, muchas gracias :D