Recta tangente a función
Calcula el valor de
para que la recta
sea tangente a la curva ![]()
SOLUCIÓN
– Una recta
tiene de pendiente
, por tanto la recta
tiene por pendiente
.
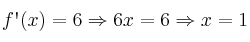
– Sabemos por otra parte, que la pendiente de la recta tangente es la derivada, por tanto l, para que sea tangente, la derivada debe valer
en algún punto:
![]()
Es decir, será tangente en el punto de abcisa
.
Ahora podemos seguir varios razonamientos:
– Método 1: Hallamos la ecuación de la recta tangente en $x=1$ aplicando la fórmula:
Como la tg es
tenemos que 
– Método 2: En
hay un punto de tangencia, lo que quiere decir que su imagen será la misma por la función que por la recta (al ser tangencia coinciden).
