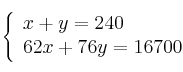
Problemas con Sistemas de Ecuaciones
Para la fabricación de un envase de tetra Brik modelo A se emiten 62 gramos de
y para la fabricación de otro envase del modelo B se emiten 76 gramos de
. Sabiendo que se han fabricado en total 240 envases, que han emitido 16700 gramos de
, ¿Cuántos envases de cada tipo se han fabricado?
SOLUCIÓN

Resolviendo el sistema obtenemos:
![]()