Problema del cable
Queremos tender un cable (color verde) tal como muestra la imagen, donde el punto D pertenece al segmento ![]()
1) Dibuje tres alternativas distintas para el trazado (los dos tramos de cable deben ser rectos)
2) Sea x es la distancia del segmento
con un coste del cable de 10 euros / km. El tramo
cuesta a 14 euros /km. Haga una tabla del coste total del cable para todos los valores enteros de x
3) Use geogebra u otro software para dibujar la función y encontrar el mínimo (ahora los valores de x no tienen por qué ser enteros)
SOLUCIÓN
1) Tres posibles rutas para el cable
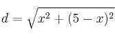
2) Observe en la imagen que si AB=5, entonces si AD=x tenemos que DB=5-x
Ahora podemos calcular el tramo CD por Pitágoras
![]()

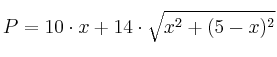
El precio (P) total del cable sería:

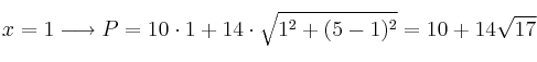
– Si
euros
– Si
aproximadamente
euros
– Si
euros
– Si
euros
– Si
euros
– Si
euros
3)
Podemos ver en la imagen que el mínimo estaría en
y le correspondería un coste de
euros