Problema de trigonometría 4481

Ejercicios_Resueltosproblemas trigonometríateorema de los senostrigonometría

Hallar el valor de tg \: \theta en función de \alpha , m y n

SOLUCIÓN

Nos fijamos en el triángulo de la derecha, donde hemos llamado t al lado BC

Si conocemos \alpha entonces también conocemos 180-\alpha

Dado que conocemos dos lados (m y n) y el ángulo comprendido entre ellos, podemos aplicar el teorema del coseno para hallar el lado t

t^2=m^2+n^2-2mn \cdot cos(180-\alpha)


En los ángulos suplementarios los cosenos son iguales, pero de distinto signo, es decir cos (\alpha) = -cos (180-\alpha), por tanto quedaría:

t^2=m^2+n^2+2mn \cdot cos(\alpha)


con lo cual

t=\sqrt{m^2+n^2+2mn \cdot cos(\alpha)}


Ya tenemos t en función de \alpha , m y n

Ahora podemos aplicar el Teorema de los senos para obtener el valor de sen(\theta)

\frac{n}{sen(\theta)}=\frac{t}{sen(180-\alpha)}


Por ser suplementarios sen(180-\alpha)=sen(\alpha)

\frac{n}{sen(\theta)}=\frac{t}{sen(\alpha)} \longrightarrow sen(\theta)= \textcolor{blue}{\frac{n \cdot sen(\alpha)}{t}}

Una vez que tenemos sen(\theta) podemos calcular cos(\theta) y finalmente tg(\theta)

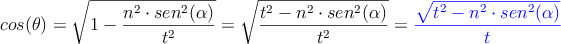
sen^2(\theta)+ cos^2(\theta)=1 \longrightarrow cos(\theta) = \sqrt{1-sen^2(\theta)}

cos(\theta) = \sqrt{1-\frac{n^2 \cdot sen^2(\alpha)}{t^2}}=\sqrt{\frac{t^2-n^2 \cdot sen^2(\alpha)}{t^2}}= \textcolor{blue}{\frac{\sqrt{t^2-n^2 \cdot sen^2(\alpha)}}{t}}

finalmente nos quedará la siguiente expresión para la tangente

tg(\theta) = \frac{n \cdot sen(\alpha)}{\sqrt{t^2-n^2 \cdot sen^2(\alpha)}}


Si sustituimos el valor de t

tg(\theta) = \frac{n \cdot sen(\alpha)}{\sqrt{m^2+n^2+2mn \cdot cos(\alpha)-n^2 \cdot sen^2(\alpha)}}

Se puede simplificar un poco, pero no merece la pena

Comentar el ejercicio