Probabilidad total 3346
Se tiene 2 urnas
y
cuyo contenido en bolas rojas, azules y verdes es:
en la urna
4 bolas azules, 3 bolas rojas y 3 verdes, en la urna
4 rojas, 5 azules y 1 verde.
Se lanzan 3 monedas y se obtienen exactamente 2 caras seguidas se extrae una bola de la urna
, en otro caso se extrae de la urna
. Se pide:
– a) Espacio muestral para el experimento aleatorio de lanzar 3 monedas.
– b) Calcular la probabilidad de que la bola extraída sea azul.
SOLUCIÓN
Al lanzar 3 monedas el espacio muestral es:
![]()
La probabilidad de obtener exactamente dos caras seguidas es 
La probabilidad del suceso contrario será 
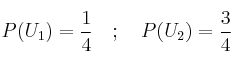
Por tanto, la probabilidad de elegir cada urna sería:

Si es A="sacar bola azul" y aplicamos Probabilidad total, tendremos:
![]()
donde
es la probabilidad de sacar bola Azul suponiendo que hemos elegido la urna ![]()
Si hacemos los cálculos tendremos:
![]()

Otra forma de calcular la probabilidad total es mediante diagrama de árbol
Para calcular la probabilidad de bola Azul, basta con sumar todas las ramas que terminan en Bola Azul y tendríamos el mismo resultado:
