Optimización caja cuadrada sin tapadera
Queremos construir una caja de cartón (sin tapadera) de base cuadrada. Disponemos de un cartón de 1 metro cuadrado y queremos saber las dimensiones de la caja para que su volumen sea el máximo posible.
a) Realiza un esquema de la caja asignando incógnitas a los datos desconocidos
b) Encuentra la expresión que represente la superficie (4 lados + fondo) y la igualas a 1 (puesto que disponemos de 1 metro cuadrado de cartón)
c) Encuentra la función que exprese el volumen de la caja y exprésala con una sola variable
d) Encuentra un máximo a la función anterior e indica las medidas de la caja para que su volumen sea el mayor posible.
SOLUCIÓN
b) Superficie del fondo ![]()
Superficie de un lateral ![]()
Superficie total ![]()
![]()
c) Volumen ![]()
Despejamos "y" en la ecuación ![]()
![]()
Entonces ya podemos expresar el volumen con una sola variable
![]()
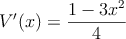
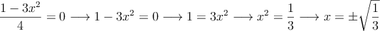
d) Para buscar un máximo a la función volumen, calculamos su derivada y la igualamos a cero.
![]()
![]()
Nos quedamos con la solución positiva puesto que se trata de una distancia.
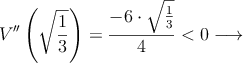
Comprobamos que
es un máximo, aplicando la derivada segunda.
![]()
es un máximo.
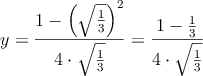
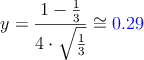
Calculamos ahora "y"

Si usamos la calculadora obtendremos las siguientes medidas aproximadas (en metros)
![]()
