• Apuntes
  • Vídeos
  • Ejercicios
    • Resueltos
    • Por Curso
      • 1º ESO
      • 2º ESO
      • 3º ESO
      • 4º ESO
      • 1º BACH. CIENCIAS
      • 1º BACH. SOCIALES
      • 2º BACH. CIENCIAS
      • 2º BACH. SOCIALES
  • Más recursos
    • Actividades Interactivas
    • Selectividad (PAU)
    • Acceso Mayores 25
    • LaTeX
Inicio ›EJERCICIOS de Matemáticas ›1º BACH. CIENCIAS ›Números Reales ›Operaciones en Notación Científica 1197

Operaciones en Notación Científica 1197

Ejercicios_Resueltosnotación_científica

Opera y expresa el resultado en notación científica
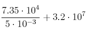
\frac{7.35 \cdot 10^4}{5 \cdot 10^{-3}} + 3.2 \cdot 10^7

SOLUCIÓN

\frac{7.35 \cdot 10^4}{5 \cdot 10^{-3}} + 3.2 \cdot 10^7=
1,47 \cdot 10^{7} + 3.2 \cdot 10^7=
(1,47 + 3.2) \cdot 10^7=
4,67 \cdot 10^7=

Comentar el ejercicio

  • 1º BACH. CIENCIAS
    • Derivadas
    • Números Reales
    • Sucesiones
    • Logaritmos
    • Polinomios y Fracciones Algebraicas
    • Exámenes
    • Ecuaciones
    • Números Complejos
    • Sistemas de Ecuaciones
    • Trigonometría
    • Inecuaciones
    • Ecuaciones Exponenciales y Logarítmicas
    • Funciones (I)
    • Geometría en el Plano
    • Cónicas
    • Funciones II
    • Integrales
    • Probabilidad
  • Mapa del sitio
  • Conectarse
  • 2001-2026 — Matemáticas IES — Contactar con Dani