Operaciones en Notación Científica 1191
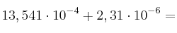
Opera y expresa el resultado en notación científica:
![]()
SOLUCIÓN
![]()
Para sumar o retar en notación científica debemos expresar ambos números en potencias con el mismo exponente.
El número
![]()

![]()
![]()
![]()
Ahora ya podemos sumar ambas cantidades:
![]()
![]()
![]()
![]()
Lo pasamos a notación científica:
![]()