• Apuntes
  • Vídeos
  • Ejercicios
    • Resueltos
    • Por Curso
      • 1º ESO
      • 2º ESO
      • 3º ESO
      • 4º ESO
      • 1º BACH. CIENCIAS
      • 1º BACH. SOCIALES
      • 2º BACH. CIENCIAS
      • 2º BACH. SOCIALES
  • Más recursos
    • Actividades Interactivas
    • Selectividad (PAU)
    • Acceso Mayores 25
    • LaTeX
Inicio ›EJERCICIOS de Matemáticas ›1º BACH. CIENCIAS ›Números Reales ›Operaciones combinadas con fracciones

Operaciones combinadas con fracciones

Ejercicios_Resueltosoperaciones_con_fracciones

Calcula y simplifica:

10 - \dfrac{\: \dfrac{1}{4}+\dfrac{1}{6} \:}{\left( \dfrac{1}{3} \right)^2}+ 3 \cdot \frac{5}{3} - 7

SOLUCIÓN

Realizamos aparte las siguientes operaciones:

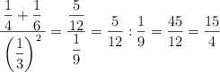
\frac{1}{4}+\frac{1}{6} = \frac{3 \cdot 1}{12}+\frac{2 \cdot 1}{12} = \frac{5}{12}

\dfrac{\: \dfrac{1}{4}+\dfrac{1}{6} \:}{\left( \dfrac{1}{3} \right)^2}= \dfrac{\dfrac{5}{12}}{\dfrac{1}{9}} = \frac{5}{12} : \frac{1}{9}= \frac{45}{12}=\frac{15}{4}

La expresión total quedaría:

10 - \frac{15}{4} + 3 \cdot \frac{5}{3} - 7 =

10 - \frac{15}{4} +  \frac{15}{3} - 7 =

10 - \frac{15}{4} +  5 - 7 =

8-\frac{15}{4} = \frac{32}{4} - \frac{15}{4} = \color{red}{\frac{17}{4}}

Comentar el ejercicio

  • 1º BACH. CIENCIAS
    • Derivadas
    • Números Reales
    • Sucesiones
    • Logaritmos
    • Polinomios y Fracciones Algebraicas
    • Exámenes
    • Ecuaciones
    • Números Complejos
    • Sistemas de Ecuaciones
    • Trigonometría
    • Inecuaciones
    • Ecuaciones Exponenciales y Logarítmicas
    • Funciones (I)
    • Geometría en el Plano
    • Cónicas
    • Funciones II
    • Integrales
    • Probabilidad
  • Mapa del sitio
  • Conectarse
  • 2001-2026 — Matemáticas IES — Contactar con Dani