Logaritmos
(23) ejercicios de Logaritmos
-
Demuestra la siguiente igualdad siendo

-
Elimina logaritmos de la expresión:

-
Elimina logaritmos de la expresión:

-
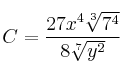
Halla la expresión logarítmica a partir de la siguiente expresión algebraica:
![C = \frac{27x^4 \sqrt[3]{7^4}}{8 \sqrt[7]{y^2}} C = \frac{27x^4 \sqrt[3]{7^4}}{8 \sqrt[7]{y^2}}](local/cache-TeX/8d919887ae6a7a150748519daf9e052a.png)
-
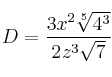
Halla la expresión logarítmica a partir de la siguiente expresión algebraica:
![D = \frac{3x^2 \sqrt[5]{4^3}}{2z^3 \sqrt{7}} D = \frac{3x^2 \sqrt[5]{4^3}}{2z^3 \sqrt{7}}](local/cache-TeX/a0f06a1c07201ae9c1ae966f7f615db9.png)