Integrales Inmediatas del tipo
Resuelve las siguientes integrales:
–
–
– 
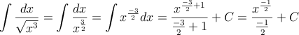
SOLUCIÓN

Si quitamos paréntesis vemos que se trata de una integral inmediata de tipo polinómica


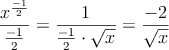
Si queremos expresar el resultado en forma de raíz:


Aplicamos las fórmulas de los productos notables->4339]
![]()