• Apuntes
  • Vídeos
  • Ejercicios
    • Resueltos
    • Por Curso
      • 1º ESO
      • 2º ESO
      • 3º ESO
      • 4º ESO
      • 1º BACH. CIENCIAS
      • 1º BACH. SOCIALES
      • 2º BACH. CIENCIAS
      • 2º BACH. SOCIALES
  • Más recursos
    • Actividades Interactivas
    • Selectividad (PAU)
    • Acceso Mayores 25
    • LaTeX
Inicio ›EJERCICIOS de Matemáticas ›1º BACH. CIENCIAS ›Integrales ›Integrales Inmediatas del tipo potencia de x

Integrales Inmediatas del tipo potencia de x

Ejercicios_Resueltosintegralesintegrales inmediatas

Resuelve las siguientes integrales:

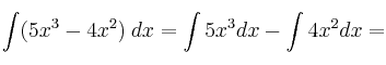
– \int (5x^3-4x^2) \: dx
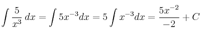
– \int \frac{5}{x^3} \: dx
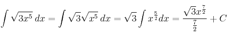
– \int \sqrt{3x^5} \: dx

SOLUCIÓN

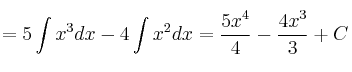
– \int (5x^3-4x^2) \: dx = \int 5x^3 dx - \int 4x^2dx =
=5 \int x^3 dx - 4 \int x^2 dx = \frac{5x^4}{4} - \frac{4x^3}{3} + C

– \int \frac{5}{x^3} \: dx = \int 5x^{-3} dx = 5 \int x^{-3}dx = \frac{5x^{-2}}{-2} + C
– \int \sqrt{3x^5} \: dx = \int \sqrt{3}\sqrt{x^5} \: dx =\sqrt{3} \int x^{\frac{5}{2}}dx = \frac{ \sqrt{3} x^{\frac{7}{2}}}{\frac{7}{2}} + C

Comentar el ejercicio

  • 1º BACH. CIENCIAS
    • Derivadas
    • Números Reales
    • Sucesiones
    • Logaritmos
    • Polinomios y Fracciones Algebraicas
    • Exámenes
    • Ecuaciones
    • Números Complejos
    • Sistemas de Ecuaciones
    • Trigonometría
    • Inecuaciones
    • Ecuaciones Exponenciales y Logarítmicas
    • Funciones (I)
    • Geometría en el Plano
    • Cónicas
    • Funciones II
    • Integrales
    • Probabilidad
  • Mapa del sitio
  • Conectarse
  • 2001-2026 — Matemáticas IES — Contactar con Dani