Integrales Inmediatas
Resuelve la integral:
– 
SOLUCIÓN
Es una integral inmediata de tipo Logaritmo Neperiano
Para aplicar la fórmula
necesitamos que en el numerador esté la derivada del denominador

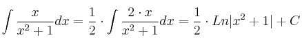
Resuelve la integral:
– 
Es una integral inmediata de tipo Logaritmo Neperiano
Para aplicar la fórmula
necesitamos que en el numerador esté la derivada del denominador
