Integrales Inmediatas
Resuelve la integral:
– 
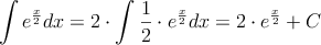
SOLUCIÓN

Es una integral inmediata de tipo exponencial, que se resuelven aplicando la fórmula:
![]()
![]()
Observe que ![]()
Resuelve la integral:
– 

Es una integral inmediata de tipo exponencial, que se resuelven aplicando la fórmula:
![]()
![]()
Observe que ![]()