Hallar razones trigonométricas a partir de la tangente
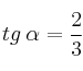
Sabiendo que
y que
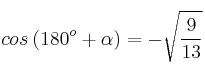
, halla ![]()
SOLUCIÓN
La estrategia de este problema se divide en dos partes:
– primero calculamos
a partir de
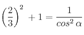
– en segundo lugar calculamos
a partir de ![]()
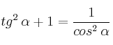
La fórmula que relaciona coseno y tangente es
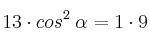
Usando el dato del enunciado tendríamos:



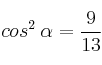
![]()


Como es un ángulo del primer cuadrante
, tomamos la solución positiva: 
Los ángulos
y
tienen cosenos iguales pero de distinto signo Ver la explicación, por tanto:
