Hallar Razones Trigonométricas
Sabiendo que
y que
, averigua ![]()
SOLUCIÓN
La fórmula para el ángulo doble es la siguiente:
![]()
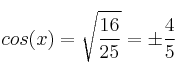
Tenemos el valor del seno, pero necesitamos también el coseno
![]()





Como
es un ángulo del segundo cuadrante, entonces su coseno es negativo. Por tanto:

Ya podemos calcular sen(2x)
![]()
