Estudio completo de una función racional

corte_ejescurvaturadominioEjercicios_Resueltosestudio global de funciónextremosfuncionesgráficamonotoníapunto de inflexión

Para la función f(x)=\frac{6x}{(x+1)^2} se pide:

 a) Dominio
 b) Corte con los ejes
 c) Monotonía y Extremos
 d) Curvatura y Puntos de Inflexión
 e) Representación gráfica teniendo en cuenta los apartados anteriores

SOLUCIÓN

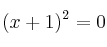
 a) Al tratarse de una función racional, su dominio son todos los números reales excepto los que anulan el denominador.

Si resolvemos (x+1)^2=0 obtenemos como única solución x=-1, por tanto el único número que hace cero el denominador es el "-1".
Su dominio será, por tanto, Dom(f) = R - \{-1\}

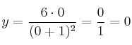
 b) Si hacemos x=0 obtenemos y=\frac{6 \cdot 0}{(0+1)^2} = \frac{0}{1} = 0 . Por tanto el punto de corte es el (0,0)

Si ahora hacemos y=0 obtenemos 0=\frac{6x}{(x+1)^2}  \rightarrow 0=6x \rightarrow x=0, obteniéndose el mismo punto de antes (0,0).

Por tanto el único punto de corte con los ejes de coordenadas es (0,0)

Comentar el ejercicio