Estudio Global de Funciones
Realiza un estudio global (dominio, simetrías, corte con los ejes, asíntotas, monotonía, extremos y representación gráfica) de la función:

SOLUCIÓN

Dominio
Se trata de una función racional. Su dominio es todos los números excepto los que anulan el denominador.
![]()
![]()

![]()
Corte con los ejes de coordenadas
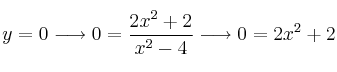
Si 
Punto de corte 
Si 
![]()
No tiene soluciones reales.
No hay puntos de corte en el eje de abcisas (eje horizontal)
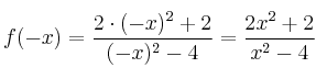
Simetrías


Como
se trata de una función par, es simétrica respecto al eje de ordenadas (eje vertical)
Asíntotas


Tiene asíntotas verticales en
y 

Tiene asíntota horizontal en 
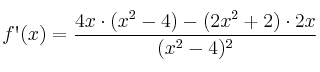
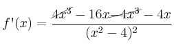
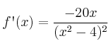
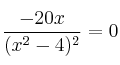
Monotonía




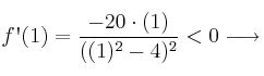
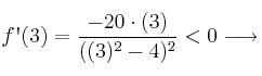
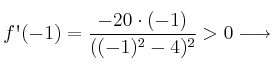
![]()

![]()
Las soluciones de la ecuación anterior y los puntos de discontinuidad nos dividen la recta real en varios intervalos

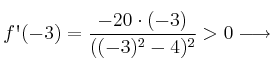
Tomamos un punto de cada intervalo para comprobar el signo de la derivada
CRECE
CRECE
DECRECE
DECRECE

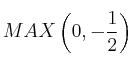
Extremos
Teniendo en cuenta que:
– En x=0 es continua
– Crece a la izquierda de 0
– Decrece a la derecha de 0
Hay un Máximo en x=0
Calculamos la segunda coordenada del máximo
Si 
