Ejercicios Probabilidad 3347

Ejercicios_Resueltosprobabilidad

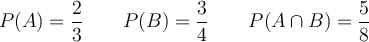
La probabilidad de un suceso A es \frac{2}{3} , la de un suceso B es \frac{3}{4} y la de la intersección es \frac{5}{8}. Calcula de forma razonada la probabilidad de que:

 a) Se verifique alguno de los sucesos
 b) No se verifique ni A ni B
 c) Ocurra A si se ha verificado B

SOLUCIÓN

Datos del enunciado:

P(A)=\frac{2}{3} \qquad P(B)=\frac{3}{4} \qquad P(A \cap B)=\frac{5}{8}

Además debemos tener claras las fórmulas de probabilidad

 a) Se verifique alguno de los sucesos (significa unión)

P(A \cup B) = P(A)+P(B) - P(A \cap B)

P(A \cup B) = \frac{2}{3}+\frac{3}{4} - \frac{5}{8} =\frac{16}{24} +\frac{18}{24}- \frac{15}{24} = \frac{19}{24}

 b) No se verifique ni A ni B

P(A^c \cap B^c) \stackrel{Morgan}{=} P(A \cup B)^c = 1-P(A \cup B) =1- \frac{19}{24}= \frac{5}{24}

 c) Ocurra A si se ha verificado B

P(A/B) = \frac{P(A \cap B)}{P(B)}=\frac{5/8}{3/4}=\frac{20}{24}=\frac{5}{6}

Comentar el ejercicio