• Apuntes
  • Vídeos
  • Ejercicios
    • Resueltos
    • Por Curso
      • 1º ESO
      • 2º ESO
      • 3º ESO
      • 4º ESO
      • 1º BACH. CIENCIAS
      • 1º BACH. SOCIALES
      • 2º BACH. CIENCIAS
      • 2º BACH. SOCIALES
  • Más recursos
    • Actividades Interactivas
    • Selectividad (PAU)
    • Acceso Mayores 25
    • LaTeX
Inicio ›EJERCICIOS de Matemáticas ›1º BACH. CIENCIAS ›Integrales ›Ejercicios Integrales Inmediatas

Ejercicios Integrales Inmediatas

Ejercicios_Resueltosintegralesintegrales inmediatas

Resuelve las integrales:

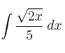
– \int \frac{\sqrt{2x}}{5}  \: dx
– \int \frac{1}{2\sqrt{x}} \: dx

SOLUCIÓN

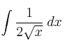
\int \frac{\sqrt{2x}}{5}  \: dx = \frac{1}{5} \int (2x)^{\frac{1}{2}}dx=\frac{1}{5} \cdot \frac{(2x)^{\frac{3}{2}}}{\frac{3}{2}} + C

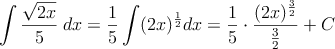
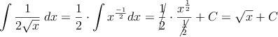
\int \frac{1}{2\sqrt{x}} \: dx = \frac{1}{2} \cdot \int x^{\frac{-1}{2}}dx=\cancel{\frac{1}{2}} \cdot \frac{x^{\frac{1}{2}}}{\cancel{\frac{1}{2}}}+C = \sqrt{x}+C

Comentar el ejercicio

  • 1º BACH. CIENCIAS
    • Derivadas
    • Números Reales
    • Sucesiones
    • Logaritmos
    • Polinomios y Fracciones Algebraicas
    • Exámenes
    • Ecuaciones
    • Números Complejos
    • Sistemas de Ecuaciones
    • Trigonometría
    • Inecuaciones
    • Ecuaciones Exponenciales y Logarítmicas
    • Funciones (I)
    • Geometría en el Plano
    • Cónicas
    • Funciones II
    • Integrales
    • Probabilidad
  • Mapa del sitio
  • Conectarse
  • 2001-2026 — Matemáticas IES — Contactar con Dani