Ejercicio trigonometría
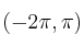
Encuentra todos los ángulos "x" comprendidos entre
y
que verifiquen:
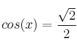
– a)
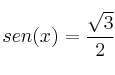
– b)
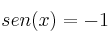
– c) ![]()
SOLUCIÓN
Antes de resolver el ejercicio debemos tener claras las razones trigonométricas de ángulos notables
Entonces sabremos que 
Dibujamos la circunferencia goniométrica
Vemos que 120 tiene el mismo seno que 60 (línea en rojo).
Por tanto, los ángulos que tienen por seno
son los siguientes:
–
– ![]()
siendo k un número entero
Que se encuentren en el intervalo
o expresado en grados
tendríamos estos 4 casos:
– 60 y -300 (60-360)
– 120 y -240 (120-360)
(corresponderían a los valores k=0 y k=-1; para el resto de valores de k estarían fuera del intervalo)
Para los apartados b) y c) procedemos de forma análoga.
