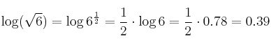
Ejercicio Propiedades de los logaritmos Ejercicios_Resueltoslogaritmos Calcula los siguientes logaritmos aplicando las propiedades y sabiendo que el a) b) c) SOLUCIÓN Debemos conocer la definición de logaritmo y las propiedades de los logaritmos a) b) c) Comentar el ejercicio