Ej 1 de Extremos Relativos
Halla los extremos relativos de la función ![]()
SOLUCIÓN
Método I
Se trata de una función cuadrática, por tanto su gráfica es una parábola.
Tendrá un mínimo en el vértice.
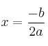
Para hallar
el vértice usamos la fórmula 
![]()
La segunda coordenada será:
Luego el vértice
es un mínimo (el único extremo relativo de la función)
Parábola y=2x^2-4x-6
Vértice de la parábola y=2x^2-4x-6
matematicasies.com
Método II
Si sabemos hacer derivadas, podemos obtener los extremos siguiendo este método
![]()
![]()
![]()
![]()
es un Mínimo
La segunda coordenada será:
![]()
Luego el punto
es un mínimo