Ej 1 de Asíntotas Oblicuas
Halla la asíntota oblicua de la función:
– 
SOLUCIÓN
La asíntota oblicua es de la forma
, donde:
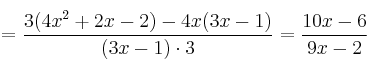
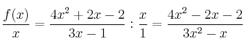
; ![]()


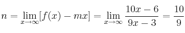
![n=\lim_{x \rightarrow \infty}[f(x)-mx]=\lim_{x \rightarrow \infty} \frac{10x-6}{9x-3} = \frac{10}{9} n=\lim_{x \rightarrow \infty}[f(x)-mx]=\lim_{x \rightarrow \infty} \frac{10x-6}{9x-3} = \frac{10}{9}](local/cache-TeX/064b2affdb12aea1cfa20bbdfab47bd0.png)
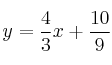
Por tanto la asíntota oblicua es 
Halla la asíntota oblicua de la función:
– 
La asíntota oblicua es de la forma
, donde:
; ![]()


![n=\lim_{x \rightarrow \infty}[f(x)-mx]=\lim_{x \rightarrow \infty} \frac{10x-6}{9x-3} = \frac{10}{9} n=\lim_{x \rightarrow \infty}[f(x)-mx]=\lim_{x \rightarrow \infty} \frac{10x-6}{9x-3} = \frac{10}{9}](local/cache-TeX/064b2affdb12aea1cfa20bbdfab47bd0.png)
Por tanto la asíntota oblicua es 