Ecuaciones racionales (con "x" en el denominador)
Resuelve las siguientes ecuaciones:
–
– 
SOLUCIÓN
![]()
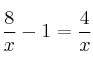
Se trata de una ecuación racional->3183]
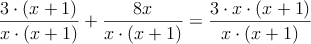
![]()
![]()
![]()
![]()
![]()
Es necesario verificar las soluciones. En este caso ambas son correctas

![]()
![]()
Comprobamos la solución y es correcta