Ecuaciones racionales 3204
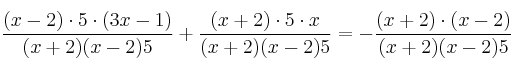
Resuelve la ecuación 
SOLUCIÓN

m.c.m. : (x+2)(x-2)5

![]()
![]()
![]()
![]()
![]()
![]()
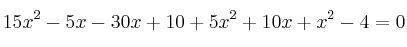
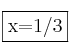
Resolvemos la ecuación de segundo grado y obtenemos como soluciones:
y 
Resuelve la ecuación 

m.c.m. : (x+2)(x-2)5

![]()
![]()
![]()
![]()
![]()
![]()
Resolvemos la ecuación de segundo grado y obtenemos como soluciones:
y 